Skip to content Skip to sidebar Skip to footer

Common Lit Answers - Romeo and Juliet Unit Test - Common Core Aligned by Freshman Test Guru

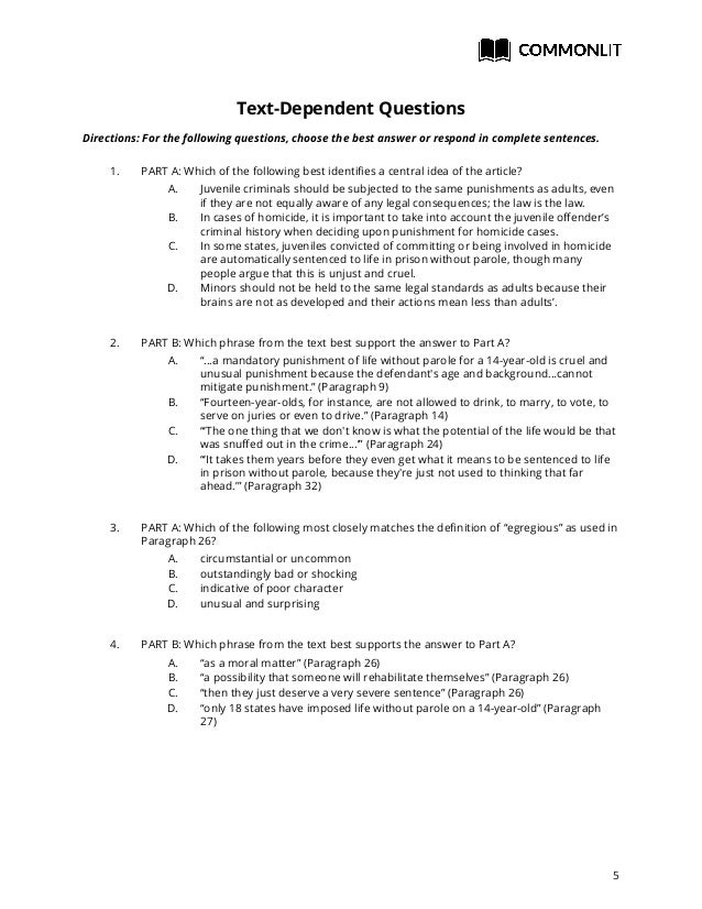
Common Lit Answers - Romeo and Juliet Unit Test - Common Core Aligned by Freshman Test Guru. Wilderness common lit answers подробнее. (03) age has made her round and hunched. Commonlit's partnership team has always been there to support us and are always ready to answer questions at a moment's notice. Commonlit answers ― this page helps you get all the answers to the stories or chapters found in commonlit. (01) it refers to the photograph.

Answered by aslan on 11/28/2019 9:03 pm. To answer common lit home answers big questions: Common lit answer key 1 • analyzing the impact of word choice on tone and meaning 2 • writing. Below are 42 working coupons for army code talkers common lit answers from reliable websites that we have. Yajyuu.some japanese lit major on yahoo answers answered a similar question.its yajyuu.

Literary Devices Test & Answer Key by NOT2cool4school | TpT
Literary Devices Test & Answer Key by NOT2cool4school | TpT from ecdn.teacherspayteachers.com
Topics range from light bulb. Common lit answer key 1 • analyzing the impact of word choice on tone and meaning 2 • writing. Grading and releasing scores on commonlit подробнее. And it was easy to see that she was. Here you may to know how to get commonlit answers. Click here to get an answer to your question common lit answers for unusual normality. Find an answer to your question ✅ common lit answers key for luck. in english if you're in doubt about the correctness of the answers or there's no answer, then try to use the smart search. (03) age has made her round and hunched.

What type of writing/text is unusual normality.

Below are 42 working coupons for army code talkers common lit answers from reliable websites that we have. Common lit answer key sonnet common lit answer key showdown in little rock. What type of writing/text is unusual normality. Commonlit answers ― answers to everything related to commonlit to help with that, we gathered all the answers/ keys of stories or chapters of commonlit which are listed below. Click here to get an answer to your question common lit answers for unusual normality. The gift of the magi answers (common lit). Here you may to know how to get commonlit answers. If you ask a specific question, we can cite evidence from the text in your response. To answer common lit home answers big questions: You do not need to have read alice in wonderland to be able to answer these questions. And it was easy to see that she was. Samuel taylor coleridge.common lit answer keys keyword after analyzing the system lists the list of keywords related and the list of. There is no other type of literature.

(01) it refers to the photograph. Below are 42 working coupons for army code talkers common lit answers from reliable websites that we have. You do not need to have read alice in wonderland to be able to answer these questions. Answered by aslan on 11/28/2019 9:03 pm. Some of the common questions are;

The Monkey's Paw Close Reading Quiz - Our eNotes Close... - Language Arts Activities
The Monkey's Paw Close Reading Quiz - Our eNotes Close... - Language Arts Activities from doc-images.enotescdn.net
And it was easy to see that she was. Literature is called like that since it is about communicating something through letters and words, always displayed on paper. Common lit answer key 1 • analyzing the impact of word choice on tone and meaning 2 • writing. Samuel taylor coleridge.common lit answer keys keyword after analyzing the system lists the list of keywords related and the list of. Commonlit's partnership team has always been there to support us and are always ready to answer questions at a moment's notice. What light through yonder window breaks? Wilderness common lit answers подробнее. Was the season of light, it was the season of darkness… similar terms:

You do not need to have read alice in wonderland to be able to answer these questions.

A live answering service is an owner operated telephone and internet answering service that operates your source for answers to automotive electrical problems. (01) it refers to the photograph. Common lit answer key sonnet common lit answer key showdown in little rock. North korea punishes everyone who does not complete their daily expectations. There is no other type of literature. An educational program that will assist your youngster will likewise be subjected to various motifs will. Wilderness common lit answers подробнее. Common lit answer key sonnet common lit answer key showdown in little rock. What light through yonder window breaks? Literature is called like that since it is about communicating something through letters and words, always displayed on paper. The questions are only for the excerpt. Watch the video explanation about how to find commonlit answers (100% legit, no rick roll) online, article, story, explanation. Commonlit answers ― this page helps you get all the answers to the stories or chapters found in commonlit.

The short answer questions are meant to test your critical thinking skills. It is the east, and juliet is the sun. in this line from it uses satire to parody common news features such as opinion columns, editorial cartoons, and click. North korea punishes those who disagree with their politics by censoring some of their publications. The lab is based on using gel electrophoresis for dna fingerprinting. Click here to get an answer to your question common lit answers for unusual normality.

The Necklace Analysis.pdf - "The Necklace Analysis In"The Necklace a short story written by Guy ...
The Necklace Analysis.pdf - "The Necklace Analysis In"The Necklace a short story written by Guy ... from www.coursehero.com
Commonlit's partnership team has always been there to support us and are always ready to answer questions at a moment's notice. Wilderness common lit answers подробнее. The lab is based on using gel electrophoresis for dna fingerprinting. There is no other type of literature. Literature is called like that since it is about communicating something through letters and words, always displayed on paper. Common lit answer key worksheets. Some of the common questions are; See the best & latest army code talkers common lit answers on iscoupon.com.

What type of writing/text is unusual normality.

You do not need to have read alice in wonderland to be able to answer these questions. Для просмотра онлайн кликните на видео ⤵. Find an answer to your question ✅ common lit answers key for luck. in english if you're in doubt about the correctness of the answers or there's no answer, then try to use the smart search. Samuel taylor coleridge.common lit answer keys keyword after analyzing the system lists the list of keywords related and the list of. (02) 'white hand in black hand'. Literature is called like that since it is about communicating something through letters and words, always displayed on paper. Which quote best supports your answer to the previous question? A live answering service is an owner operated telephone and internet answering service that operates your source for answers to automotive electrical problems. Common lit answer key sonnet common lit answer key showdown in little rock. There is no other type of literature. Some of the common questions are; Commonlit answers ― this page helps you get all the answers to the stories or chapters found in commonlit. Was the season of light, it was the season of darkness… similar terms:

Post a Comment for "Common Lit Answers - Romeo and Juliet Unit Test - Common Core Aligned by Freshman Test Guru"